Комаров Е. Расчет выходных трансформаторов. - В помощь радиолюбителю. - 1959. - №8. - 10-29.
Назначение выходного трансформатора
Выходной трансформатор радиоприемника или усилителя нужен для согласования выходного сопротивления оконечной лампы каскада с нагрузкой, т. е. громкоговорителем.
Качество работы выходного каскада в основном характеризуется величиной частотных и нелинейных искажений.
Частотные искажения появляются вследствие непостоянства величины сопротивления нагрузки для различных частот.
Вследствие нелинейности характеристик ламп оконечного каскада возникают нелинейные искажения. Большой коэффициент нелинейных искажений в усилителе нетерпим, так как влечет за собой резкое ухудшение качества звучания.
Как величина полезной мощности, так и значение коэффициента нелинейных искажений в большой степени зависят от величины нагрузочного сопротивления оконечного каскада. При неправильном выборе величины нагрузки уменьшается полезная мощность, отдаваемая лампой, и растет коэффициент искажений. Наивыгоднейшие значения сопротивлений нагрузки для типовых режимов конкретных ламп будут приведены в табл.1 в следующем выпуске рассылки.
Нужная величина сопротивления нагрузки для большинства ламп составляет несколько тысяч Ом. Величина же сопротивления звуковых динамических громкоговорителей выражается в единицах ома. Поэтому непосредственное включение катушки громкоговорителя в анодную цепь лампы нецелесообразно.
Для согласования этих сопротивлений я применяют выходные трансформаторы.
Расчет выходных трансформаторов
На рис.1

приведена принципиальная упрощенная схема выходного каскада, на рис.2

изображены эквивалентные схемы этого каскада для различных частот усиливаемого сигнала. Здесь R1 - внутреннее сопротивление лампы; r1 - активное сопротивление первичной обмотки; r2 - активное сопротивление вторичной обмотки; Ls - индуктивность рассеяния трансформатора; R1 - приведенное сопротивление нагрузки (сопротивление со стороны первичной обмотки при включении во вторичную нагрузку); La -индуктивность первичной обмотки.
Расчет выходного трансформатора можно разделить на две части: электрический расчет и конструктивный расчет (по данным электрического расчета).
При электрическом расчете определяются такие параметры трансформатора, как коэффициент трансформации, индуктивность первичной обмотки, индуктивность рассеяния и активные сопротивления обмоток.
При конструктивном расчете находятся числа витков обмоток, диаметр проводов, габариты и сечение стального сердечника.
Заданными величинами при расчете обычно являются: внутреннее сопротивление лампы, наивыгоднейшее сопротивление нагрузки. Величина постоянной составляющей анодного тока лампы (тока покоя), мощность громкоговорителя и сопротивление его звуковой катушки, а также граничные частоты полосы пропускания (частоты, для которых усиление должно быть не меньше 0,7 от максимального уровня).
(продолжение следует)
Комментарии
Приближенный расчет,
Приближенный расчет, обладающий достаточной для радиолюбительской практики точностью, может быть проведен по упрощенным формулам, без учета активных потерь в обмотках трансформатора и его индуктивности рассеяния. Поэтому расчет трансформатора по заданным параметрам лампы и громкоговорителя сведется к определению коэффициента трансформации, индуктивности первичной обмотки, чисел витков обмоток, диаметра проводов и объема и сечения стального сердечника.
Расчет выходных трансформаторов для однотактных каскадов
Заданными величинами при расчете являются: внутреннее сопротивление лампы Ri, приведенное сопротивление нагрузки R1, постоянная составляющая анодного тока лампы Iо, мощность громкоговорителя и сопротивление его звуковой катушки, а также допустимые частотные искажения.
Расчет трансформатора начинается с определения требуемого коэффициента трансформации, приводящего сопротивление нагрузки к нужной величине в области средних частот, по формуле:
где n - коэффициент трансформации, выражающий собой отношение чисел витков вторичной обмотки к первичной; Rн - сопротивление звуковой катушки громкоговорителя; R1 - приведенное сопротивление нагрузки.
Следующим этапом расчета является определение индуктивности первичной обмотки, величина которой определяет частотные искажения каскада в области низких частот.
Первичная обмотка трансформатора, как это видно из эквивалентной схемы для низких частот (рис. 2, б), включена параллельно приведенному сопротивлению нагрузки. Индуктивное сопротивление обмотки на низких частотах уменьшается, что приводит к уменьшению коэффициента усиления. Для того чтобы коэффициент частотных искажений не превышал заданного значения, индуктивность первичной обмотки не должна быть меньше определенной величины. Эта величина определяется по формуле:
где при использовании в выходном каскаде триода R = Ri, а для лучевого тетрода или пентода R = 0,1Ri; fн - частота, соответствующая нижней границе полосы пропускания усилителя; М - коэффициент частотных искажений, представляющий собой отношение коэффициента усиления на средних частотах (принят за единицу) к коэффициенту усиления на низких частотах
Если принять fн = 80 Гц, а М = 1,22, то формула для расчета индуктивности первичной обмотки трансформатора упростится и примет вид:
После определения величин n и L2 необходимо найти, исходя из мощности громкоговорителя т.е. той мощности, которую нужно передать из первичной обмотки во вторичную, тип и размеры пластин, а также сечение сердечника по формуле:
где Р - мощность громкоговорителя в Вт, а В - коэффициент, зависящий от типа применяемой лампы, показателей усилителя (полосы пропускания, допустимых искажений) и, в очень сильной степени, от наличия или отсутствия в схеме отрицательной обратной связи.
Величиной, определяющей
Величиной, определяющей максимальную мощность трансформатора, работающего с постоянным подмагничиванием, для пластин сердечника данной формы является произведение
Qc*Qo,
где
Qc = ab,
Qo = ch
Если в оконечном каскаде используется пентод или лучевой тетрод, то величина В колеблется от 10 при применении отрицательной обратной связи и до 20 без нее. При использовании в качестве выходной лампы триода В имеет значение от 5 до 10 соответственно.
Величины Qc и Qo можно взять из табл. 2
в которой приведены данные для Ш-образных пластин некоторых стандартных типов.
После выбора сердечника рассчитывается число витков первичной обмотки то формуле:
где W1 - число витков первичной обмотки;
Iо - постоянная составляющая анодного тока лампы мA (ток покоя), берется из табл. 1.
Lа и Qc - то же, что в формуле
и табл. 2
Число витков вторичной обмотки W2 определяется по формуле:
W2=n*W1.
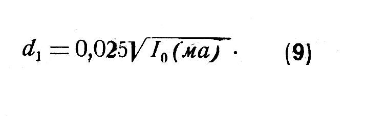
Диаметр провода первичной обмотки берется в соответствии с формулой:
Диаметр провода вторичной обмотки находится из формулы:
Обозначения те же, что и в предыдущих формулах. Последней операцией при расчете трансформатора однотактного каскада является определение величин воздушного зазора в сердечнике. Введение зазора уменьшает изменение индуктивности трансформатора из-за подмагничивания его постоянным током Iо. Величины зазора определяются по формуле:
где l3 - величина зазора в мм.
Толщина прокладки между пакетом пластин и их замыкающими равна половине l3.
Пользуясь приведенными формулами, произведем в качестве примера расчет выходного трансформатора для громкоговорителя 5ГД-10, имеющего мощность 5 Вт и сопротивление звуковой катушки 3,4 Ом., работающего от лампы типа 6П1П (R1 =42 кОм, Ra=5 кОм, Io=44 мA) без применения отрицательной обратной связи. Коэффициент частотных искажений M возьмем равным 1,41 на частоте 50 Гц.
1. Определяем коэффициент трансформации:
2. Рассчитываем индуктивность первичной обмотки трансформатора:
3. Выбираем тип пластин и сечение сердечника. Так как мощность громкоговорителя в этом случае используется не полностью, в формулу
B*P = Qc*Qo
подставляется не мощность громкоговорителя, а неискаженная мощность выходной лампы.
Из табл. 2 находим, что наиболее подходящим для нас является сердечник, собранный из пластин Ш-19. Для него
Qc*Qo = 59,2; Qc = 7,6 см2; Qo = 7,8 см2.
4. Определяем число витков
4. Определяем число витков первичной обмотки:
Округляем до 4000 витков.
5. Определяем число витков вторичной обмотки:
W2 = n* W1 = 0,028 • 4000 = 110 витков.
6. Находим диаметр провода первичной обмотки:
7. Находим диаметр провода вторичной обмотки:
8. Определяем величину зазора в сердечнике:
l3 = W1*Io / 8*105 = 4000 *44 / 8*105 = 0,22 мм.
9. Находим толщину прокладки:
Если после проверки окажется, что площадь окна мала, следует взять сердечник большего размера и проделать расчет заново.
Расчет выходных трансформаторов для двухтактных каскадов
Электрический расчет выходных трансформаторов для двухтактных каскадов аналогичен расчету трансформаторов для однотактных каскадов и производится по тем же формулам. Отличием является лишь то, что в формулу
вместо R1 подставляется его удвоенное значение, а в формуле
величина активного сопротивления R также умножается на два.
Конструктивный расчет трансформатора для двухтактных каскадов отличается от расчета однотактных трансформаторов. Это объясняется тем, что выходные трансформаторы в двухтактных каскадах работают без подмагничивания. Размеры сердечника здесь поэтому определяются полосой частот и допустимыми частотными искажениями в области низших частот (для трансформаторов до 10 - 15 Вт) и максимальной мощностью, передаваемой из первичной обмотки во вторичную.
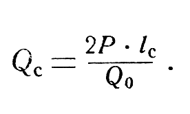
Максимальная мощность трансформатора Р, работающего без подмагничивания, связана с размерами сердечника следующим приближенным соотношением:
где lс - длина средней силовой линии в см.
Пользуясь формулой P = Qo2 *Qc / 2lc и табл. 2, легко подобрать тип сердечника.
При заданном типе сердечника необходимое сечение среднего стержня можно найти из выражения:
Если выходной каскад охвачен отрицательной обратной связью, то это сечение может быть взято приблизительно в два раза меньшим, или можно считать мощность трансформатора в два раза большей.
После выбора сердечника рассчитывается число витков первичной обмотки по формуле:
Далее расчет двухтактного трансформатора не отличается от расчета однотактного трансформатора.
Зазор в сердечниках трансформаторов, работающих без подмагничивания, не делается.
Рассмотрим пример расчета
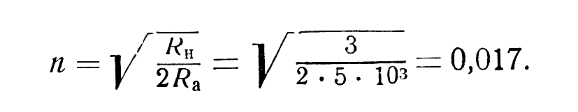
Рассмотрим пример расчета выходного трансформатора для двухтактного оконечного каскада, работающего на лампах 6П6С (Ri = 50 кОм, Ra = 5 кОм, Iо = 45 мА) для громкоговорителя типа 8ГД-2 (максимальная мощность - 8 Вт, сопротивление звуковой катушки - 2,8 Ом). Усилитель работает с отрицательной обратной связью. Коэффициент частотных искажений на частоте 50 Гц равен 1,41.
1. Определяем коэффициент трансформации:
2. Рассчитываем индуктивность первичной обмотки:
Так как оконечный каскад охвачен обратной связью, индуктивность можно уменьшить до 20 Гн.
3. С помощью формулы
и табл. 2, учитывая мощность громкоговорителя, определяем тип сердечника. Для мощности 8 Вт наилучшим типом пластин сердечника является Ш-19, для которых
Qo = 7,8 см2; lс = 15 см.
4. Сечение среднего стержня находится из формулы:
Qc = 2P*lc / Qo2 = 16*15/7,82 = 4 см2
Отсюда толщина пакета сердечника 400 / 19 = 21 мм.
5. Число витков первичной обмотки:
В обмотке делается вывод от середины.
6. Число витков вторичной обмотки:
W2 =n*W1 =3500 * 0,017=86 витков.
7. Диаметр провода первичной обмотки:
8. Диаметр провода вторичной обмотки:
В заключение произведем проверку размещения обмоток в окне сердечника. Для двухтактного трансформатора намотку лучше осуществить на двухсекционном каркасе (рис. 4)
Этот тип намотки обеспечивает большую симметричность обмоток, а также уменьшает опасность пробоя между витками. При такой конструкции на каждую половину каркаса наматывают половину первичной и вторичной обмоток.
Пластина Ш-19 имеет размеры окна 4,6х1,7 см. Половина каркаса (за вычетом толщины трех картонных щек - 4,5 мм и свободных краев полей - 4 мм) имеет полезную длину 18 мм.
Определим площадь сечения, которую занимает в секции половина первичной обмотки:
число витков в слое
18 / di (с изол.) = 18 / 0,19 = 95 витков.
число слоев в секции
W1 / 2 / 95 = 1750 / 95 = 19.
Высота всей намотки, считая, что толщина межслойной прокладки выбирается одинаковой с диаметром провода, равна:
0,19 * 19 * 2 = 6,9 мм.
Принимая толщину прокладки между обмотками равную 1,5 мм, находим полную высоту намотки первичной обмотки:
6,9 + 1,5 = 8,4 мм.
Аналогичным способом находится полная высота намотки вторичной обмотки:
число витков в слое
18 / di (с изол.) = 18 / 1,05 = 17 витков;
число слоев в секции
W1 / 2 / 95 = 43 / 17 = 3.
Считая межслойную прокладку толщиной в 0,3 мм (два слоя лакоткани), определим полную высоту вторичной обмотки
3* 1,05 + 4 * 0,3 = 4,4 мм.
Полная высота намотки обеих обмоток
4,4 + 8,4 = 12,8 мм.
Полезная высота окна (за вычетом толщины гильзы - 1,5 мм)
17 - 1,5 = 15,5 мм.
Очевидно, что при размещении обмоток остается свободное место. Поэтому в целях увеличения к.п.д. трансформатора и уменьшения нагревания его обмоток можно увеличить диаметр провода первичной обмотки до 0,2 мм.
Расчет выходных
Расчет выходных трансформаторов для подключения двух и более громкоговорителей
В радиолюбительской практике иногда встречается необходимость рассчитать выходной трансформатор для подключения двух и более громкоговорителей, причем параметры громкоговорителей могут быть различны. В этом случае необходимо иметь в трансформаторе несколько вторичных обмоток.
Все приведенные сопротивления нагрузок работают как параллельно включенные, а полной их сопротивление должно равняться сопротивлению R1.
Следовательно, основной задачей является определение коэффициентов трансформации для отдельных нагрузок таким образом, чтобы при этом в каждой нагрузке выделялась соответствующая мощность, а общая приведенная нагрузка равнялась P1 данной лампы.
Следует оговорить заранее, что одним из основных условий правильности расчета является соответствие мощности оконечного каскада суммарной мощности всех подключенных к этому каскаду громкоговорителей.
Расчет трансформатора для нескольких громкоговорителей начинается с определения величины приведенного сопротивления отдельно для каждого громкоговорителя по формуле:
R1 = Ra*Pобщ / Р,
где R1 - приведенное сопротивление данной нагрузки;
Ra - общее приведенное сопротивление (наивыгоднейшее значение) для данной лампы;
Р - мощность данной нагрузки;
Робщ - суммарная мощность всех громкоговорителей.
Затем подсчитываются коэффициенты трансформации для каждого громкоговорителя в отдельности по формуле:
Дальше расчет проводится в том же порядке и по тем же формулам, что и в двух предыдущих случаях.
Приведем в качестве примера расчет выходного трансформатора, нагруженного тремя громкоговорителями: 5ГД-14 (P1 = 5,0 Вт; Rн1 = 3,4 Ом); 1ГД-9 (Р2 = 1,0 Вт, Rн2 = 5,5 Ом) и 4ГД-1 (P3 = 4,0 Вт, Rн3 = 3,4 Ом) для работы с лампой 6П3С (в каскаде применена отрицательная обратная связь). Лампа 6П3С имеет следующие параметры: Ri = 22,5 кОм; Rа = 2,5 кОм; Iо = 54 мА (при Ua = 350 В и Uэ = 250 В); Рвых = 10 Вт; нижняя граничная частота - 50 Гц; коэффициент частотных искажений Ми = 1,41.
1. Определяем приведенные сопротивления:
2. Рассчитываем коэффициент трансформации:
3. Определяем индуктивность первичной обмотки:
При наличии отрицательной обратной связи величину индуктивности можно уменьшить приблизительно в два раза, т.е.
Lа =5 Гн.
4. С помощью табл. 2,
4. С помощью табл. 2, учитывая формулу (B*P = Qc*Qo), выбираем сердечник из пластин Ш-25. Для них Qc=6,2 см, Qo=15 см.
5. Число витков первичной обмотки:
W1 = 45 * La * Io / Qc = 45 * 5 * 54 / 6,2 = 2000 витков.
6. Число витков вторичных обмоток:
a) W12 = n1 * W1 = 0,029 * 2000 = 58 витков;
б) W22 = n2 * W1 = 0,016 * 2000 = 32 витка;
в) W32 = n3 * W1 = 0,025 * 2000 = 50 витков.
7. Диаметр провода первичной обмотки:
8. Диаметр проводов вторичных обмоток:
9. Величина воздушного зазора:
Далее, как и обычно, следует проверить размещение обмоток в окне сердечника.
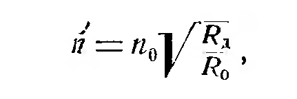
Пересчет числа витков вторичной обмотки. Иногда радиолюбитель имеет готовый трансформатор, пригодный для использования с выбранной оконечной лампой, но рассчитанный на подключение громкоговорителя с другим сопротивлением звуковой катушки, чем тот, который у него есть. В этом случае нет необходимости перематывать первичную обмотку трансформатора. Достаточно изменить коэффициент трансформации, уменьшая или увеличивая в зависимости от данных применяемого громкоговорителя число витков вторичной обмотки.
Определить необходимое число витков вторичной обмотки n можно по формуле:
где nо - количество витков вторичной обмотки, имевшейся на трансформаторе;
Ro - сопротивление звуковой катушки громкоговорителя, на которое был рассчитан трансформатор;
Rд - сопротивление звуковой катушки имеющегося громкоговорителя.
Примечания к таблице 3 1.
Примечания к таблице 3
1. Имеется дополнительная обмотка, насчитывающая 700 витков провода ПЭЛ 0,1.
2. Трансформатор рассчитан под громкоговоритель с сопротивлением звуковой катушки 2,5 Ом.
3. Трансформатор рассчитан под громкоговоритель с сопротивлением звуковой катушки 3 Ом.
4. Имеется дополнительная обмотка для внешнего громкоговорителя, насчитывающая 1200 витков провода ПЭЛ 0,1.
5. Трансформатор в первичной обмотке имеет отвод от 15'0-го витка.
6. Трансформатор в первичной обмотке имеет отвод от 200-го витка.
7. Трансформатор имеет дополнительную обмотку для внешнего громкоговорителя, насчитывающую 1500 витков провода ПЭЛ 0,1. Сердечник трансформатора собран в стык и имеет зазор 0,12 мм.
8. Имеются две дополнительные обмотки:
1) обмотка внешнего громкоговорителя - 650 витков провода ПЭЛ 0,12;
2) обмотка обратной связи - 3 витка провода ПЭЛ 0,8 мм.
9. А) Трансформатор рассчитан на два громкоговорителя с сопротивлениями звуковых катушек 3,4 Ом.
Б) Имеется дополнительная обмотка для внешнего громкоговорителя, насчитывающая 1040 витков провода ПЭЛ 0,1.
10. Трансформатор рассчитан под громкоговоритель 5ГД8 с сопротивлением звуковой катушки 3,4 Ом.
11. Имеется дополнительная обмотка для внешнего громкоговорителя и обратной связи, насчитывающая 400+-5 витков провода ПЭЛ 0,15 мм.
12. Трансформатор имеет две параллельно включенные вторичные обмотки.
13. А) Имеется дополнительная обмотка для внешнего громкоговорителя - 625 витков провода ПЭЛ 0,12 мм.
Б) Звуковые катушки громкоговорителей включены последовательно.
14. Имеется дополнительная обмотка обратной связи в 100 витков провода ПЭЛ 0,17 мм.
15. А) Имеется дополнительная обмотка для внешнего громкоговорителя - 490 витков провода ПЭЛ 0,1 мм.
Б) Трансформатор рассчитан на два громкоговорителя, звуковые катушки которых включены параллельно.
16. Имеется дополнительная обмотка для подключения внешнего громкоговорителя в 420 витков провода ПЭЛ 0,1.
17. Трансформатор имеет дополнительную обмотку для подключения внешнего громкоговорителя в 550 витков провода ПЭЛ 0,12.
18. Трансформатор рассчитан на подключение громкоговорителя 3ГД4.